首页
走进九游会·J9-官方网
集团概况
领导简介
组织机构
发展历程
杰出贡献
未来发展规划
企业核心价值观
全景九游会·J9-官方网
九游会·J9-官方网酿艺
生态酿酒车间
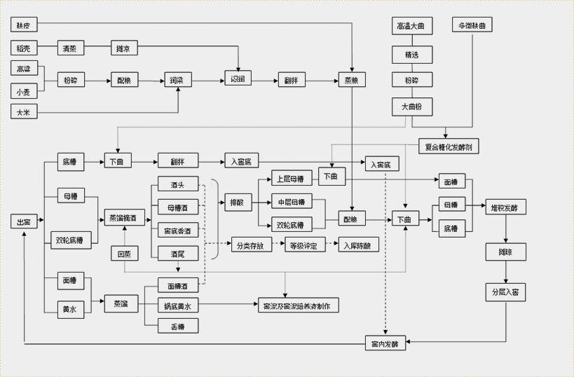
酿酒工艺流程图
酿酒工艺
九游会·J9-官方网荣誉
荣誉奖项
领导关怀
优质产品
九游会·J9-官方网皇家窖藏系列
九游会·J9-官方网老酒系列
八珍系列
复兴系列
皇家酒文化
大成于仪秋
起始于炎帝
兴盛于契丹
成名于康熙
发展于现代
其它
新闻资讯
职业技能
公示公告
九游会·J9-官方网活动
集团新闻
联系我们
九游会·J9-官方网酿艺
生态酿酒车间
酿酒工艺流程图
酿酒工艺
当前位置:
首页
>
九游会·J9-官方网酿艺
>
酿酒工艺流程图
酿酒工艺流程图